反応技術⼀覧
アゾメチン⾊素中間体
活性メチレン化合物との反応により⾊再現性、光堅牢性に優れた⾊素を形成可能です。
活性メチレン化合物の選択により、⾊調を調整可能です。

キレート⾊素
キレート剤の特徴
- 吸収波⻑が数10nm〜深⾊シフトする
- モル吸光係数(ε)が増加する
- 光、温湿度に対する耐久性が向上する
- 有機溶媒に対する溶解性が向上する
また、このリガンドは重⾦属の捕捉剤としても利⽤可能で置換基のバリエーションは変更可能です。
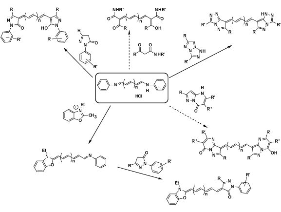
⾊素中間体(メチン鎖供給体)
メチン鎖上の炭素数、パーツを選択することにより、
さまざまな⾊調の⾊素を合成することが可能です。

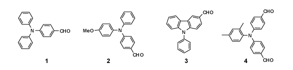
ホルミル基置換トリアリールアミン誘導体
1、2、3のようなモノホルミル体に加え、4の様なジホルミル体もご提供可能です。

利⽤例
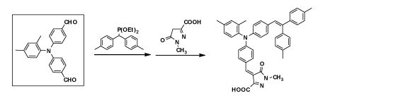
例1)有機レーザー材料向け中間体

例2)太陽電池⽤⾊素中間体

フタロシアニン誘導体
フタロシアニン中間体として重要な
ジイミノインドリン誘導体を製造可能
対応するフタロジニトリルからアンモニア法を⽤いて
ハロゲンフリーな中間体を製造する事が可能になりました。
